Table des matières
Codage de Huffman
Compression
Exemple simple
Considérons le texte ha ha ho ho qui comporte n = 11 caractères – en comptant les espaces. On souhaite coder ce texte pour en faire un fichier. On pourrait choisir le codage iso-8859-1. Dans ce codage,
hest codé01101000aest codé01100001oest codé01101111<espace>est codé00100000
Le code obtenu serait donc 01101000 01100001 00100000 01101000 01100001 00100000 01101000 01101111 00100000 01101000 01101111 – les espaces servent à la lisibilité et ne seraient pas présent dans le fichier réel. Ce code comporte n x 8 = 88 bits.
Mais le codage iso-8859-1 permet de coder tout l'alphabet et plus encore, alors que notre texte n'utilise que quelques caractères différents. On pourrait décider d'un codage plus court. Il y a 4 caractères différents, $2^1 < 4 \leqslant 2^2$, il faut donc au minimum nb = 2 bits par caractères :
<espace>serait codé00hserait codé01aserait codé10oserait codé11
Ainsi on obtiendrait le codage 01 10 00 01 10 00 01 11 00 01 11, qui comporte n x nb = 11 x 2 = 22 bits.
C'est beaucoup mieux mais c'est un peu illusoire : ce code, nous venons de l'inventer pour l'occasion. Il n'existe nulle part ailleurs. Personne ne le connaît. Donc je suis obligé d'indiquer dans le fichier une traduction de ce code, par exemple en indiquant la correspondance entre ce code et le code iso :
00→0010000001→0110100010→0110000111→01101111
En supposant que je puisse donner cette traduction tout d'un bloc, sans espace ou quoique ce soit d'autre, il me faudra au minimum 4 x (2 + 8) = 40 bits.
L'ensemble de mon fichiers ferait alors 40 + 22 = 62 bits. C'est mieux que les 88 bits de départ avec iso.
- Plus le texte contient de caractères différents, moins ce codage est intéressant.
- Comme c'est la partie traduction qui fait perdre de l'efficacité, et comme la traduction n'a être donnée qu'une fois par caractère différent, plus le texte est long, plus les caractères sont répétés et plus ce codage est intéressant.
- Ce codage sera donc très intéressant pour un texte très long avec peu de caractères différents.
Exemple : un fichier représentant un code ADN, très longue suite de lettres parmi ATGC.
À vous
Prenons un texte plus long dans lequel j'ai ôté les accents et les majuscules pour simplifier. Ce texte comporte des retours à la ligne qu'il faut compter également.
On note \n le caractère de retour à la ligne.
- renard_et_corbeau.txt
maitre corbeau, sur un arbre perche, tenait en son bec un fromage. maitre renard, par l'odeur alleche, lui tint a peu pres ce langage : He ! bonjour, monsieur du corbeau. que vous etes joli ! que vous me semblez beau ! sans mentir, si votre ramage se rapporte a votre plumage, vous etes le phenix des hotes de ces bois. a ces mots, le corbeau ne se sent pas de joie ; et pour montrer sa belle voix, il ouvre un large bec, laisse tomber sa proie. le renard s'en saisit, et dit : mon bon monsieur, apprenez que tout flatteur vit aux depens de celui qui l'ecoute. cette lecon vaut bien un fromage, sans doute. le corbeau honteux et confus jura, mais un peu tard, qu'on ne l'y prendrait plus.
Vous devez refaire le travail précédent :
- Combien de caractères ce texte compte-t-il ? – valeur de n.
- Supposons que chaque caractère soit codé par un octet comme en iso-8859-1, combien faut-il de bits pour coder ce texte ?
- Combien de caractère différents ce texte compte-t-il ?
- Combien de bits faudrait-il au minimum pour coder chaque caractère ? – valeur de nb
- Combien faut-il de bits faut-il, en comptant la partie traduction et la partie texte, pour coder ce texte de la façon décrite précédemment ?
Code de Huffman
La méthode décrite précédemment consistait à créer un code ne contenant que les symboles utiles. Le code de Huffman reprend cette idée en allant un peu plus loin : Le code de Huffman tient de plus compte de la fréquence des lettres.
L'idée est d'utiliser un codage dont la taille varie. On utilise un code court pour les caractères fréquents et un code long pour un caractère rare. On comprend qu'en ayant souvent un code court et rarement un code long, le code total a de bonnes chances d'être plus court.
Mais la longueur variable du code des caractères entraîne des complications. C'est ce que nous allons voir.
Exemple simple
Soit le texte hahahaha oh. Il comporte 4 caractères différents et 11 caractères en tout. Si on adopte la méthode précédente, il me faudra 40 bits pour la traduction vers iso et 22 pour le texte soit 62 bits en tout.
Huffman propose d'utiliser plutôt ce code :
hserait codé1→01101000en isoaserait codé00→01100001en iso<espace>serait codé010→00100000en isooserait codé011→01101111en iso
La partie traduction code → iso nécessite (1+8) pour h + (2+8) pour a + (3+8) pour espace + (3+8) pour o soit 41 bits. La partie texte nécessite 5 x 1 bits pour les h + 4 x 2 bits pour les espaces + 1 x 3 bits pour l'espace + 1 x 3 bits pour le o soit en tout 19 bits.
Avec le code de Huffman, il me faut donc 60 bits pour coder le texte entier. Le gain est faible car ce texte est très court.
Cette façon de faire sera d'autant plus efficace que :
- le texte sera long,
- il y aura de grandes différences dans les fréquences d'apparition des différents caractères
- le nombre total de caractères sera faible.
Problème d’ambiguïté
Supposons que je veuille codé h par 0 et a par 00. Que devra-t-on comprendre si dans le fichier codé on voit la séquence 00 ?
- est-ce un
hrépété 2 fois ? - est-ce un
a?
Le codage utilisé doit interdire une telle situation. Avec le code que j'ai proposé dans l'exemple précédent, une telle ambiguïté est impossible.
Par exemple, avec h = 1, a = 00, espace = 010 et o = 011, le code 1001001011 n'a qu'un sens possible. Vous pouvez vérifier !
Le code de Huffman nécessite donc une méthode pour permettre de construire un code à la fois efficace et sans ambiguïté.
Statistiques
Pour poursuivre, nous aurons besoin de connaître les statistiques du texte à coder. On peut envisager de compter manuellement pour un texte court mais mieux vaut prévoir une méthode de comptage automatique.
- Écrivez une fonction
statsqui reçoit l'argumenttexteet renvoie un dictionnaire dont les clés sont les caractères utilisés dans le texte et les valeurs sont les nombres d'occurrences de ces caractères. - Utilisez cette fonction sur le texte de Le Renard et le Corbeau.
Construire un arbre
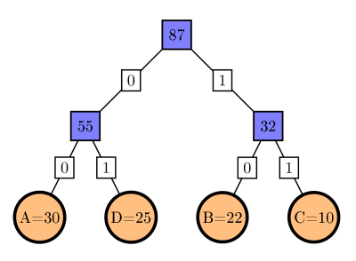
Supposons que dans un texte, on ait relevé les statistiques suivantes :
| A | B | C | D | E |
|---|---|---|---|---|
| 30 | 22 | 10 | 25 | 100 |
- Relever les éléments avec la fréquence la plus faible. Ici B et C.
- Construire un arbre avec ces deux éléments comme ci-dessous :
Nous obtenons ainsi un nouveau tableau :
| A | B et C | D | E |
|---|---|---|---|
| 30 | 32 | 25 | 100 |
- Les deux éléments les moins fréquents sont maintenant 1 et D
- Construire un arbre avec ces deux éléments
Nous obtenons ainsi un nouveau tableau :
| A et D | B et C | E |
|---|---|---|
| 55 | 32 | 100 |
- Les deux éléments les moins fréquents sont les blocs AD et BC
- Construire un arbre avec ces deux éléments
Nous obtenons ainsi un nouveau tableau :
| ABCD | E |
|---|---|
| 87 | 100 |
Il ne reste qu'à les assembler :
Utiliser l'arbre
L'arbre étant donné, on déduit le codage. Ici,
- E sera codé
0 - A sera codé
100 - D sera codé
101 - B sera codé
110 - C sera codé
111
C'est un code de Huffman.
Dans cet exemple, ABCD sont codés sur 3 bits tandis que E sur un seul. Si on fait le compte, avec 30 A, 22 B, 10 C, 25 D et 100 E, on aura besoin de 361 bits pour le texte. Pour indiquer la traduction → iso, il faudra encore 1 + 8 bits pour le E et 3 + 8 bits pour A, B, C, D soit 53 bits de traduction et donc en tout 414 bits. Il en aurait fallu (30 + 22 + 10 + 25 + 100) x 8 = 1496 avec un codage iso soit un taux de compression de $\frac{414}{1496} \simeq 28\,\%$.
- Tenant compte des statistiques obtenues pour Le Renard et le Corbeau, construisez l'arbre de Huffman pour ce texte.
- Déduisez-en le nombre de bits nécessaires pour coder ce texte en comptant les bits pour la traduction en iso et les bits pour le texte lui même.
- Comparez avec ce que l'on obtenait avec un codage à nombre de bits fixe.
Implémentation
Nous avons déjà une fonction pour relever les statistiques d'un texte.
Ajoutez les fonctions pour :
- construire l'arbre de Huffman à partir du dictionnaire de statistiques,
- construire un dictionnaire donnant pour chaque caractère du texte son code selon l'arbre de Huffman obtenu,
- évaluer le nombre de bits du fichier obtenu avec le code de huffman et une approximation du taux de compression par rapport au même texte codé en iso.
